тождество эйлера
(самая замечательная формула в математике)



действующие лица:
катя – i (мнимая единица)
дина – число π
маша – число е (или основание натурального логарифма)
коля – 1
0



условные обозначения:
/ - перебивка реплики следующей
отсутствие знаков препинания обусловлено интонацией
.. - не многоточие, но почти
акт 1
сцена 1

катя, дина и маша на кухне.

катя: я так ненавижу тараканов, господи! но не могу их убивать. я не могу вот это вот тапком по телу и как он крошится давится и переворачиваешь, а из него белое лезет. и хруст этот. нет. не могу. когда у меня впервые появились тараканы и никакая отрава типа рапторов всяких не действовала, то я прочитала где-то, что надо поливать их борной кислотой. они ее боятся и типа если один учует, то он обязательно другим передаст - сигналы они усами передают там как-то. но если у меня не было борной кислоты, а я, честно говоря, выливала из банки на пол добротно, то тогда надо было сжигать им усы, чтобы они не звали за собой товарищей и шли куда-нибудь в уголок доживать свой век. ну и где-то в глубине души я надеялась, что другие тараканы увидят таракана без усов и забоятся в этот дом идти. а у меня зажигалка такая была еще раньше - пистолет огромный газовый - ну я по ним стреляла. иногда подолгу задерживала палец на курке и сжигала таракана вообще. но потом мне было стыдно. я еще в детстве дала себе зарок никого не убивать, даже комаров. поэтому я в основном только усы тараканам жгла. для профилактики. потом они исчезли и я уж думала, что припугнула их как следует…

дина: ну я не очень согласна. надо убивать иногда. фишка же тут только в боли. но они вряд ли чувствуют боль.

катя: у них по-любому же есть все эти рецепторы…

дина: да ну и что? они и у растений есть. но вряд ли они испытывают страдания от этого. или ты думаешь, пока ты заносишь тапок над тараканом, у него проносится вся жизнь перед глазами и он уже предвкушает свое колоссальное страдание, вспоминая деток, первую любовь и так далее? боль - это же в первую очередь эмоция.

катя: да у меня вообще проблемы с этим живым-неживым даже. я и посуду не могу в психозе бить. в школе нам говорили карандаши не ронять - а то у них внутри грифель ломается, и я представляла себе, что у них сломанный позвоночник потом и такое электричество по телу пробегало. или это чувство, когда случайно сломаешь что-нибудь и все упало внутри, целостность атомов все эти сцепки все это нарушено и все. только что было целое, живое - одну секунду назад! а теперь все. но я не понимала логики, почему вот нам в школе тоже говорили типа не ломайте ветки у деревьев, вы им пальцы ломаете, вам бы было приятно, если бы вам пальцы ломали? ну блин а пишем мы в тетрадях, они же тоже из дерева, если подумать, и что, вопрос тогда в том, с целью ты ветки ломаешь или просто так? а если это потом тетрадь дуры какой-нибудь, ну и что за цель? короче, я во всем этом запуталась и решила никого не убивать и никому не вредить.

дина: лев николаевич, добрый вечер. на самом деле все что ты говоришь больше похоже на то, что ты сама не хочешь страдать, а не потому что не хочешь обрекать на страдания другого. слушайте! а что это такое?

все прислушиваются.

дина: это птица так щебечет мелодично?

катя: а, я тоже сначала так подумала, кстати.

маша: какая птица?

катя: да это не птица. это счетчик у нас течет в ванной.

дина: самая большая тупость на свете - счетчики. похоже на птицу, кстати. / смешно.

маша: / вообще не похоже.

дина: мне тут пришел счет за свет на 22 косаря. ну оказалось, что надо было передавать там какие-то показания, еще что-то. чушь какая-то.

маша: в смысле чушь?

дина: да этот счетчик старше меня лет на 20, кто им вообще пользуется? я ж плачу за свет, ну и все.

маша: в смысле? что за бред?

катя: и что ты будешь делать?

маша: капец, мы за свет сколько, 300 рублей платим?

катя: ну не 300, конечно.

дина: да найду работу какую-нибудь. правда, я не понимаю вообще, кто и как, где ее находит. я всякие объявления читаю - ну все фигня какая-то, я же не хочу как бы работать ну тупо за деньги и неважно что

катя: а где бы ты хотела работать?

дина: а не знаю, нигде. я вообще не понимаю, я как бы дофига всего умею, ну вот если список вакансий открыть - то мне ничего не нравится. я вот читаю эти условия их типа работать столько-то, отпуск летом 42 дня и все, несвобода дикая, не уехать никуда. отстой.

катя: ну ты же и сейчас не ездишь?

дина: ну, это кризис, раньше я на пару дней в хельсинки или сайт ржд открою, чего подешевле и еду. раз и все - как рубеж отчеркнуть.

маша: на работе и выходные есть, и праздники.

дина: да все равно каторга, все как бы заранее предопределено и ничего не сделать, вот работай год еще, и скучно, я хочу что-нибудь крутанское чтобы прямо

катя: ну а ты на учебе когда - ты же тоже поехать не можешь, на пары надо ходить.

дина: но это другое. там я точно знаю, что это мне для ума, это интеллект развивает.

маша: если это так развивает интеллект, что ж ты не придумала до сих пор как работу-то найти?

дина: а ты мне нравишься, крошка!

катя: можно еще продать что-нибудь. мы иногда что-нибудь продаем.

маша: да мы уже все продали, мне кажется.

у дины пищит телефон. дина читает сообщение.

дина: о, на тусу зовут. гоу?

катя: а кто?..

дина: чуваки из какой-то группы, не помню название. да круто будет. пойдем! сеструху тоже бери, че она дома все время? движение - жизнь! давай, машуня, тусанемся как следует, собирайся, / познакомим тебя с классными ребятами.

катя: / не надо.

маша: мне своих классных достаточно.

дина: чего-то она у тебя борзая слегка. машуня, знаешь стихи?
вам одеваться было лень,
и было лень вставать из кресел.
— а каждый ваш грядущий день
моим весельем был бы весел.
вы это сделали без зла,
невинно и непоправимо.
— я вашей юностью была,
которая проходит мимо.

маша швыряет кружку в раковину и выходит из кухни.

катя: она к егэ готовится. нервы.

дина: (кричит вдогонку) это цветаева, маша, не злись. (кате) ладно, че, погнали?

сцена 2

маша пишет пост у себя на стене вконтакте.
«чем примитивнее человек, тем более высокого он о себе мнения» э.м.ремарк.

катя возвращается домой. она пьяна. маша идет к двери. катя смеется и пытается избавиться от верхней одежды.

маша: что смешного?

катя: да нет, просто… слушай, машуня, тебе одиноко? давай поговорим.

маша ходит по квартире и собирается.

катя: ну машуня, ты что, обиделась, что я тебя с собой не взяла?

маша: я тебе, что - вещь? захотела бы - сама бы пошла. но как ты могла догадаться - я не захотела.

катя: ну и зря. было весело.

маша: иди спи.

катя: а ты куда?

маша: на часы посмотри. в школу я иду, куда еще.

катя: ой. я думала, сегодня выходной. машуня… а у меня для тебя сюрприз!

маша: ну?

катя: мы больше не будем жить вдвоем. унылость нашей жизни раскрасит…

маша: о господи.

катя: дина. тебе понравилась дина? дина классная.

маша уходит, хлопнув дверью.

катя: ну и зря, очень зря. дина классная. она тебе понравится. обязательно. она всем нравится.

катя заходит в интернет. заходит на страницу дины. листает ее фотки. там есть фотки с вечеринки. на некоторых фото есть и катя. она улыбается. потом она пролистывает новости. видит пост своей сестры. хмурится.

акт 2
сцена 1

катя и дина разбирают вещи дины. маша стоит в дверном проеме и наблюдает за происходящим с нескрываемым раздражением.

дина: ладно, маман мне баблишка обещала в следующем месяце, съеду от вас. эй, машуня, слышишь? расслабься.

маша: я тебе не машуня. чего тебе в общежитии не живется?

дина: да мы там тусанулись слегка на первом курсе, мне туда нельзя.

катя: хорошо, что вас не отчислили тогда.

дина: да не, меня бы не отчислили. я талантливая.

маша выходит из комнаты. дина достает из коробки тетрадь. открывает ее. показывает кате.

дина: во, смотри.

катя: вот уж никогда бы не подумала, что ты собираешь гербарий.

дина: только с мест самых выдающихся событий. тут не только растения, вот этикетка, вот кусок материи, это я, кстати, не помню, откуда. вот! смотри. этот билетик с электрички, в которой я как-то ехала голая.

катя: что?

дина: да короче, я познакомилась с чуваком в баре

катя: как обычно…

дина: и ближе к утру он предложил мне сгонять на залив, ну мы поехали, взяли каких-то его знакомых. ехали, сосались, короче, круто было. ну вот приехали. рассвет, романтика, коньячок. короче офигенно. ну тут эти чуваки как-то завелись, что мы сосемся все время и тоже захотели. ну или может этот чувак им пообещал что-то, не суть. короче они накинулись на меня и стали буквально срывать с меня одежду.

катя: а дальше?

дина: ну я убежала. правда, было уже прохладно, но короче я доехала до города, айфон, правда, проебала. жалко.

катя: как же ты добралась домой?

дина: а хуй знает, не помню уже.

катя: как же ты купила этот билет, если у тебя денег не было?

дина: боже, да ты зануда.

дина смеется, забирает у нее блокнот, возвращается к своим вещам, шарится в остальных коробках, хаотично их разбирая и доставая рандомные предметы: видно, что собиралась она как придется. она достает пластинку.

дина: во, смотри. мне как-то один крутой чувак подарил. отличное, сказал, музло, коллекционная какая-то пластинка.

катя: the doors!

дина: ну, ты умная, все знаешь. а я знала, что тебе понравится. дарю.

катя: боже, 67 год.

катя идет к виниловому проигрывателю.

дина: да ладно! откуда у тебя это старье?

катя: это мамин. она любила пластинки, говорила, что здесь самый честный звук...

катя ставит пластинку.

катя: щас покажу любимую у них.

включается песня people are strange, катя ищет другую песню, наконец-то находит нужное место. звучит песня my eyes have seen you.

дина: а че поют?

катя: название переводится как «мои глаза видели тебя».

дина: а про че поют-то?

катя: на самом деле там что-то про телевидение, но неважно, для меня в ней другой смысл.

дина: какой?

катя: ну ты просто послушай. атмосфера крутая.

песня кончается.

дина: все? че-то ну хрен знает.

катя: ладно, щас я покажу тебе общепризнанный хит.

катя включает people are strange. катя переводит текст одновременно с тем, как поет джим моррисон.

катя:
вот здесь круто:
“все женщины шлюхи
когда тебя не хотят
улицы неровны
когда ты на дне”

дина: ладно, ладно, я поняла, что ты шаришь в английском, песню-то дай послушать. и вообще, когда музыка играет - танцевать надо.

дина тащит катю потанцевать. катя танцует неуверенно и вроде как она совершенно не собиралась. дина танцует как будто ее тело давно уже ждало момента, когда можно будет пуститься в эротический пляс.

дина: выпьем?

катя: у меня ничего нет.

дина достает бутылку вина.

дина: ты меня недооцениваешь. у меня всегда есть винишко про запас.

катя уходит за штопором. дина остается одна в комнате. она изучает как устроен проигрыватель.

в комнату заходит маша.

маша: катя!

катя (из кухни): щас приду.

маша: отойди от проигрывателя.

дина: эй, крошка, расслабься, в чем дело? хочешь, выпьем вместе?

маша: от проигрывателя отошла быстро.

дина: окей, окей.

катя заходит в комнату со штопором.

катя: что происходит?

дина: кстати, этот трекан ничего так.

маша останавливает музыку и выносит из комнаты проигрыватель.
катя быстро идет за машей. из-за стены слышится приглушенно их разговор. дина открывает окно и закуривает. потом что-то вспоминает, идет к коробке, достает оттуда гирлянду, развешивает ее по всем поверхностях, за которые можно зацепиться. включает. подходит к книжной полке, берет книгу наугад.

катя: маша, ну угомонись, в чем дело?

маша: зачем ты ее привела? она меня раздражает, я ее ненавижу!

катя: да что с тобой такое? ты ее даже толком не знаешь!

маша: ты слышишь, как она разговаривает? как она себя ведет?

катя: маша, дина - лучшая студентка нашего факультета. она умная и талантливая, а вдобавок к тому харизматичная и открытая этому миру. и тебе есть чему у нее поучиться. вместо того, чтобы писать тупые статусы вконтакте, вымещая свою пассивную агрессию в интернет.

катя забирает у маши проигрыватель и возвращается в комнату к дине. замечает гирлянду.

катя: (про гирлянду) ух ты. (про машу) прости за нее.

дина: да забей. я была хуже. у тебя тут отличная библиотека!

катя: да, тут и от бабушки осталось, и родительское…

катя отдает дине штопор. дина открывает вино. катя достает из серванта бокалы.

катя: наверное, надо их помыть.

дина: да забей.

дина разливает вино.

дина: за тебя.

катя: спасибо, что ты здесь.

дина: потанцуем? мне понравилось смотреть на тебя.

катя ищет какую-то пластинку.

катя: вот, это.. ты знаешь, это нечто особенное для меня.

катя включает песню starless группы king crimson. они медленно танцуют. дина словно соблазняет катю. в какой-то момент дина делает вид, что хочет поцеловать катю, та поддерживает этот импульс, но дина смеется, отстраняется, наливает еще вина.

дина: за тебя, крошка!

сцена 2

продолжает играть песня starless. дома у дины и кати небольшая вечеринка. дина и несколько человек курят траву. катя разговаривает с колей, стоя у проигрывателя.

коля: это соло на одной ноте меня каждый раз радует. роберт фрипп как будто просто не может остановиться и некому дать ему по башке.

катя: кстати, невзирая на невыносимую продолжительность, это довольно-таки логично укладывается в темпоритм всей композиции.

коля: да, здесь структура прямо ломовая. все четко. вот черт! вот есть же песни, которые вроде сначала есть и есть, но с тысячного раза они вдруг начинают так пролюбливаться, что аж новые цвета видишь!

катя смеется.

коля: а это, с саксофоном? очень смешная часть!

дина кричит на какого-то парня.

дина: кто позвал сюда этого чувака? чей это друган? вали отсюда, сексист ебаный.

дина подходит к кате и коле.

катя: что он тебе сказал?

дина: да пошел он! (тому парню) засунь свой дискурс себе в жопу и пиздуй куда подальше! (всем) че-то тухлая вечеринка, ребзя. надо, наверное, музло сменить.

starless выключается.

дина: щас, щас…

дина включает вконтакте песню bad kingdom группы moderat. зажигательно танцует. визжит. пьет.

кате приходит смс-ка от маши: «это еще долго будет продолжаться?» катя убирает телефон.

коля: а вы давно вместе?

катя: пару недель.

коля: она такая… ну… огнеопасная, в общем.

катя (нехотя): ага.

дина: танцуем, танцуем. да здравствует дионис!

дина пьет вино из бутылки. катя допивает содержимое бокала. дина подходит к коле.

дина: эй, парниша. я тебе явно нравлюсь. чего ж ты молчишь? вперед, дерзай.

коля: привет. да. привет.. коля. (подает руку)

дина уводит парня танцевать. люди, курившие траву, внезапно обнаруживают отсутствие травы. они суетливо ищут пакетик, но его нигде нет.

парень 1: че блин за фигня

парень 2: пиздец.

дина: слушайте, ребзя, забейте, че так зассали-то все сразу

выключается музыка. парни все переворачивают в поисках пакетика. люди напряжены.

дина: все, вечеринка окончена, валите домой.

катя: что происходит?

дина: да расслабься, все бухие просто

кто-то собирается уходить, но не парень 1 и парень 2. они хотят разобраться.

парень 1: где он?

дина подходит к парню 1, одну руку запускает ему в карман штанов, второй гладит его по спине. вынимает из его кармана заветный пакетик.

дина: оно?

парень 1: полная хуйня, она подбросила его мне!

дина: ой, да валите уже отсюда все. ты (показывает на колю). а ты останься. ты вроде ничего.

коля: как ты это сделала?

дина: да какая разница.

катя в растерянности смотрит по сторонам. люди постепенно уходят. дина закрывается с колей в комнате. катя идет в комнату к маше. садится на кровать. из комнаты дины слышится смех и прочие банальности.

катя: как… как дела в школе?

маша: ты че прикалываешься?

катя: ну как вообще ты?

маша: от нас жильцы съезжают.

катя: что? почему? почему они не позвонили мне?

маша: ну, может, не смогли дозвониться.

катя: черт.

из комнаты дины слышны звуки возрастающего эротизма.

маша: меня щас стошнит.

катя: не утрируй. один раз к нам пришли гости. это не катастрофа.

маша: и что, ты теперь все время будешь сидеть тут у меня над душой, пока твоя подружка будет водить сюда всяких мужиков? я, кстати, думала, это твой друг.

катя: мужиков. маша. ну что это за уровень дискурса.

маша: она все время говорит это слово. ты мне лучше скажи, мы на что жить будем?

катя: я решу этот вопрос.

катя и маша сидят в тишине. потом катя идет убираться на кухню. она включает на телефоне филипа гласса, первую часть концерта для скрипки с оркестром.

дина: странный выбор.

катя: мне хочется очиститься.

дина: да брось. ты только наблюдала за происходящим.

катя: этого вообще не должно было быть. я чувствую себя грязной, мерзкой, порочной. я чувствую грех.

дина: какая смешная формулировка. в тебе говорят твои комплексы. и чувство вины.

катя: им бы совсем не понравилось, как я сейчас живу.

дина: ну вообще-то ты не обязана жить с оглядкой.

из комнаты выходит дина и заходит на кухню. слышит филипа гласса.

дина: странный выбор.

катя: успокаивает.

дина: ты нервничаешь, крошка?

катя: нет, просто устала. зачем ты это сделала?

катя идет в их комнату. там дина и коля, они спят. или делают вид. катя идет в комнату к маше.

катя: можно я сегодня останусь здесь?

акт 3
сцена 1

катя пытается сделать учебную работу, перед ней учебники с формулами. она пишет сообщение дине и маше с одинаковым текстом: «ты сегодня опять не придешь?» маша отвечает: «нет, я останусь у насти, мы готовимся к егэ». дина отвечает: «не, я на работе» катя: «что за работа?» дина не отвечает.

катя: ну конечно. правильно. все правильно.

катя встает и ходит по квартире. она включает пластинку the doors и песню people are strange. она вспоминает тот вечер. но, не дослушивая, выключает. снова садится за стол. затем подходит к окну. курит. подходит к зеркалу. смотрит на себя как курит. красиво выдыхает дым.

катя: господи, как же банально я себя веду.

она ложится на кровать. звонит телефон.

катя: алло. да. да, все верно. да, сейчас дома. да, можете подъехать. да.

катя кладет в коробку виниловый проигрыватель. звонок в дверь. катя открывает. там коля.

катя: о господи. ее здесь нет.

коля: я к тебе.

катя молча пропускает его.

коля: ты не отвечаешь, не берешь трубку.

катя: я знаю.

коля: можно пройти?

катя: ну проходи. а зачем?

коля: это все неправильно, это все было неправильно, понимаешь, я сам не знаю.

катя: ой, стоп, я не хочу это слушать.

коля: алкоголь - зло, я даже ничего не помню, только знаю одно - я поступил неправильно, я был неправ.

коля достает из сумки пластинку.

коля: я хотел сначала принести цветов, но / потом подумал

катя: но получилось еще более неактуально

коля отдает ей пластинку.

катя: those who do not. очень символично.

коля: я знаю, что ты вряд ли меня простишь, но я очень не хочу тебя терять. еще никто в этом мире не понимал меня так, как ты. я больше не знаю никого, кто любил бы king crimson, тату, psychic tv, the doors и филипа гласса. у тебя потрясающе необычный вкус.

катя: извини, меня ждут покупатели внизу.

коля: что?

катя берет коробку с проигрывателем и идет к выходу.

катя: прямо сейчас.

коля: о нет, боже, почему?

катя: мне нужны деньги.

коля: я дам тебе денег, сколько тебе надо? не продавай.

катя: поздно, говорю же, уже ждут.

коля: ну скажи, что ты передумала!

катя: а я не передумала.

коля: черт, черт, черт!

катя: бывает. мы поговорили?

коля: черт, нет! мы не поговорили!

катя: ну можешь подождать меня здесь.

коля послушно остается.

сцена 2

катя стоит около дома с коробкой. в наушниках играет 3 часть 14 сонаты бетховена.

катя:
presto agitato. вот так надо жить. дина всегда говорит, что математика - это поэзия. весь мир - поэзия, если захотеть. фонарь выплыл из лужи. на церкви подсвечена фраза te deum laudamus. мимо идут выразительные гопники. обезлиственные деревья вертикальными чертами оттеняются на стенах домов. зеленый мокрый асфальт становится красным, а потом опять зеленым, не заходя в оранжевый промежуток. бумажный цветок утопает в грязной луже. рядом - не успевший растаять снег. из мусорного бака торчит зеркало, я отражаюсь в нем. на меня смотрит беременная собака. ее хозяин смотрит на нее черными глазами. сколько у меня сейчас будет денег - я могла бы снять квартиру прямо сейчас и поселиться там одна. а могла бы сесть на поезд и уехать в другой город и снять там номер и не париться несколько дней.

к кате подходят люди. забирают коробку, отдают деньги. катя пишет смс маше. «нам надо поговорить. возвращайся. ее не будет. обещаю».

акт 4
сцена 1

прошло какое-то время. дина и катя сидят на кухне.

дина: пляшешь под дудку обстоятельств.

катя: / глупость какая.

дина: / всегда. ну посмотри вокруг! ну, например, тебе нравятся эти обои?

катя: не очень.

дина: почему ты их не снимешь? они же отвратительно безвкусны. сколько лет назад их поклеили? 30? / 40?

катя: у меня нет столько денег, чтобы / поклеить новые.

дина: / а у меня дохуя денег сейчас.

дина подходит к стене.

дина: и мне твои дурацкие обои вообще не нравятся.

дина начинает рвать обои.

дина: ты со мной? расслабься, я куплю тебе обои, что там тебе еще надо, только скажи. дальше нас двое. только огни - аэродрома…

дина смеется.

катя: откуда у тебя деньги?

дина: у меня охуительная работа.

катя: расскажи уже.

дина: ну помнишь конференцию, где ты с свои этим пареньком что-то втирали нам про фракталы?

катя: его зовут коля.

дина: где ты его вообще нашла?..

катя: а то ты / не знаешь.

дина: / ладно, плевать. ну после этого меня подозвал шрайбер и сказал, что у меня была выдающаяся работа и предложил мне написать статью в вестник академии наук.

катя: ну ничего себе… и что, за это много платят?

дина: не, вообще не платят, это для души.

катя: так подожди, а что с работой?

дина: да стремная работа. но платят дохуя.

катя: интересно, кому-нибудь еще предложили написать в вестник?

дина: да вряд ли. ну там особо некого брать было, согласись?

катя: наверное.

катя отдирает огромный кусок обоев. там газета, текст на которой относительно разборчив.

дина: «в любви советского народа к пиву есть что-то метафизическое»

катя: да ну неправда! нет там такого.

катя приглядывается. дина смеется.

катя: не может быть!

дина: «что-то таинственное и потустороннее. я сидел с кружкой чешского». обрывается. но этого блин достаточно. дионис разговаривает со мной из старых газет! такое нельзя игнорировать. я сгоняю за пивасом. или за чем получше.

катя: ты же собиралась сегодня что-то там доделывать.

дина: а как это может мне помешать?

дина уходит за пивом. катя остается на кухне, где содрана часть обоев. она оглядывается. возвращается дина.

дина: сеструху твою в парадной встретила. а чего ты ее выгнала кстати? она классная. лучше твоего парня.

катя: я ее не выгнала, она просто временно живет в квартире, которую мы сдаем, этажом выше, потому что

дина: ладно, забей, я поняла, у вас там свои терки

катя: да нет же…

дина: м, отличный пивас.

дина уходит в комнату. со стены свисают надорванные обои. часть их уже лежит на полу. катя отрывает еще маленький кусочек. она замечает чек на столе. смотрит. идет за диной.

катя: где ты вообще взяла пиво за такие деньги?

дина: а в чем проблема, крошка?

катя: где ты работаешь?

дина: ой да забей, какая разница?

сцена 2

катя стоит перед зеркалом и наносит перед сном крем на лицо.

дина: зачем ты это делаешь?

катя: кожа сохнет.

дина: или может ты боишься преждевременного старения?

дина смеется.

дина: представь, я ведь, наверное, скоро уже умру, если продолжу столько пить. и моя могила будет завалена цветами. мой мозг будут изучать потомки-ученые. а ты будешь жить. переживешь меня лет на 50, не меньше. и всю жизнь будешь меня вспоминать.

катя: необязательно хорошими словами.

дина: какие глупости ты говоришь, катя. это совершенно неважно. это всего лишь параметры относительности. мы с тобой как джим моррисон и рей манзарек. он писал отличную музыку, но кто его помнит, когда речь заходит о дорз? может быть, только ты.

катя: не думаю, что это корректный пример.

дина: да брось, именно так ты и думаешь. я ведь даже не знаю, как его зовут. я даже не думаю об этом. ты думаешь.
слишком сладко земное питье, слишком плотны любовные сети, пусть когда-нибудь имя мое прочитают в учебнике дети.

катя отворачивается от зеркала.

дина: красивая ты, катя. очень красивая.

катя: зачем ты говоришь мне это?

дина: это правда.

катя: не издевайся.

дина заходит в ванную, вздрагивает.

дина: боже, ты меня напугала.

сцена 3

катя сидит на диване перед компьютером. вокруг нее разложены какие-то пособия.

дина: посмотри на меня? ну посмотри посмотри посмотри

катя: если ты сейчас же не заткнешься, я вырву себе глаза, пришью к твоим и ты будешь смотреть на них вечно.

дина: ну посмотри на меня еще раз?

катя молчит.

дина: почему ты такая зануда? посмотри в окно? пойдем погуляем.

катя: не надо открывать, пожалуйста, мне и так холодно.

дина: о, там такое такое

катя: какое слово даст тебе понимание того, насколько сильно ты мешаешь мне?

дина: там блин охуеть просто

катя: тебе мама звонит.

дина: там потрясающе грязный пес жрет голубя!

катя: возьми трубку.

дина: я вот кстати не знала, что собаки едят птиц. вот люди болтают! смысл жизни, смысл жизни… не много ли они берут на себя, эти люди? почему никого не беспокоит смысл жизни этого голубя? и этой собаки?

катя: курить иди на кухню, я сто раз говорила!

дина: кстати о собаках: а ты знала, что ежи едят собачий корм?

катя: алло, да, сейчас я передам ей трубку.

дина (отказываясь от трубки): скажи ей, что я умерла. нет, скажи, что меня съела собака!

катя: она вам перезвонит через 5 минут. вот что тебе нужно?

дина: посмотри на меня?

катя: ну.

дина: катя, вот скажи мне, каков смысл жизни у мыслей, сидящих в твоей голове?

катя: боже.

дина: кто ты такая, катя?

катя: а ты кто?

дина: кстати, а что что значит твое имя?

катя: не знаю.

дина: ты что, прикалываешься?

дина гуглит имя катя.

дина: «вечно чистая», «чистый, непорочный». «оксфордский словарь личных имён» указывает, что этимология этого имени остаётся неясной. какая ты таинственная. мне нравится.

катя: а что значит твое?

дина заходит в комнату с бутылкой дорогого алкоголя.

дина: бросай телефон, сегодня мы тусуем, крошка.

катя: что? почему?

дина: а какой тебе нужен повод? день рождения эйнштейна тебя устроит?

катя: это правда?

дина: хрен знает, проверь.

дина замечает виниловый проигрыватель.

дина: о, думала, ты продала его.

катя: это коля подарил.

дина: походу он тебя любит.

комнату постепенно заполняют люди. дина быстро становится пьяной. она подходит к парню, который ест хлеб.

дина: а ты знаешь, что будет гораздо вкуснее, если сделать так?

дина поливает хлеб лубрикантом со вкусом шоколада. парень морщится.

парень: что это?

дина: а ты не видишь? я подготовилась к нашей встрече.

парень: но мы только что познакомились.

дина: а я уже была к этому готова.

дина забирает у него хлеб и максимально эротично слизывает лубрикант.

дина: ммм, очень вкусно.

дина наклоняется к оторопевшему парню и целует его. затем уплывает танцевать. тем временем катя ищет себе место, взаимодействия с колей ей явно не хватает. он что-то говорит ей, она его не слышит. на кухне по-прежнему частично не хватает обоев. она проводит рукой по стене. на пальцах остается известь. дина подходит к кате.

дина: крошка, чего стоишь, скучаешь? потанцуем?

катя: да ты же знаешь, я не люблю…

дина: тссс.

они танцуют. дина пьяно и медленно говорит.

дина: катя, катя… я сейчас так пьяна… ты… катя, катя…

катя: я знаю…

дина: нет, ты не понимаешь, катя…

катя обнимает дину, даже прижимает к себе. дина замечает колю.

дина: зачем тебе этот стремный чувак, я не понимаю, мне одной ночи хватило понять, что он ни о чем. его интеллект совершенно не соответствует твоему.

катя: я не знаю.

дина: брось все, катя, будь со мной.

дина целует катю. коля швыряет в них бокал с вином и уходит.

дина: он не стоит тебя.

катя: коля!

он уходит из квартиры. дина уводит катю в их комнату.

дина: жди меня здесь, крошка. и ни о чем не думай. пообещай мне.

катя целует дину.

дина: пообещай.

катя: обещаю.

дина: я сейчас.

дина выходит из комнаты и возвращается на кухню. катя не может найти себе места. она проверяет себя перед зеркалом, как она выглядит. поправляет волосы. смотрит на свое тело. расстегивает штаны, смотрит на свои трусы. она лезет в шкаф и надевает другие. поправляет волосы еще раз. снимает лифчик. остается в одной футболке. дина не возвращается. она выходит из комнаты на кухню. дина разговаривает с тем парнем, которому показывала, как правильно есть хлеб с лубрикантом. дина снова целует его. и ведет в комнату.

дина: пойдем?

катя: я сейчас.

катя выбегает из квартиры на улицу. она идет по улице как будто впервые.

катя:
где я
пока она там
я выхватываю взглядом
медленно ползущие по лужам
отражения огней
городских украшений
заглядываю в витрины
красивые люстры
дорогие ванны
на земле лежит чья-то варежка
кусок коробки
на нем вмятина
в нее попал дождь
получилась лужа
мусорный бак на колесиках отъехал от тротуара
словно по какой-то инерции его объезжают машины
я иду на переход
я вижу красный свет
я иду
красный меняется на зеленый
я чуть не начинаю переходить дорогу
но понимаю что перепутала свет
красный был не мне
красный был машинам
а теперь ждать
я жду
но машин нет
можно идти
но я стою
и жду
потом я не дожидаюсь
и иду вперед
но свет сменяется зеленым
и вроде как что я двинулась на красный
уже не считается
пока я шла
он стал зеленым
значит и шла я на зеленый
вот и все
вот и ответ
вот и вся моя жизнь
каждый сам по своим адресам
огоньки привычные гаснут и кончаются
мысли посторонние лишние не новые
я звезда ты звезда нас приказано сжечь
кто-то сдал и достал адреса наших встреч
никогда не проси хорошо хорошо
взять и успокоиться кто кому достанется
кажется окажется проще не знакомиться
мама папа прости мама папа прости
меня полностью нет абсолютно всерьез
зачем ты все время говоришь одно и то же
зачем ты все время говоришь одно и то же
зачем ты все время говоришь одно и то же

катя исчезает.

акт 5
сцена 1

прошло время. маша и дина лежат на полу в кухне. обои переклеены.

маша: ты много раз это пробовала?

дина: больше, чем ты себе можешь представить. ты боишься, крошка?

маша: нет, я чувствую, что это стоит того.

дина: ну, честно говоря, конкретно этот тип я пробую впервые. и делаю я это все не потому, что это стоит того.

маша: неужели тебе никогда не было страшно передознуться и умереть?

дина: это ты боишься быть мертвой, а я боюсь быть живой.

маша: почему? жить – это так ясно, а вот что там что там это так страшно

во время монолога дина соблазняет машу, раздеваясь и раздевая ее. иногда монолог прерывается поцелуями, в какой-то момент он становится сексуальным актом. на последней фразе он завершается.

дина: понимаешь…
я знаю всё что будет
нет не всё
я знаю что будет потом
через 320 лет можно будет жить в зоне чернобыля
через 5200 лет григорианский календарь отстанет на одни сутки от астрономического времени
несколько раз сменятся полярные звезды
через 10000 лет вымрет человечество
через 50000 лет прекратит свое существование ниагарский водопад
через 40 млн лет фобос упадет на марс
через 50 млн лет австралия пересечёт экватор, калифорния утонет, а африка столкнётся с евразией, закрыв средиземное море
а еще через 100 млн лет австралия соединится с антарктидой, а америка с гренландией
через 600 млн лет полное солнечное затмение станет невозможным, потому что луна будет слишком далеко от земли
через миллиард лет исчезнет морская вода
через три миллиарда лет земля превратится в венеру
начнется эпоха черных дыр, солнце испарится в излучении хокинга, потом эпоха вечной тьмы, а если протоны не распадутся, то распадется вся материя до железа-56
через больше чем 1 миллиллион лет вперед появится больцмановский мозг
который осознает себя
осознает окружающее пространство
он будет наблюдать конечное энергетическое состояние вселенной
зачем? зачем он все это увидит и осознает?
а знаешь чем все закончится? закончится все теоремой пуанкаре
все вернется туда откуда началось но мы не знаем откуда оно началось это не страшно откуда оно там началось это было давно и будет нескоро
не страшно не быть перед тем как ты есть
страшно не быть после
а что будет после - я знаю
как будто я и была
а дальше все начнется заново
и снова появлюсь я
снова пройду весь этот путь
буду бояться смерти родственников, потом своей, а потом буду бояться жить
параллельно буду чему-то учиться ходить в школу потом в институт
буду говорить всем что ищу себя и действительно себя искать
а потом моя учеба кончится и нужно будет искать настоящую работу чего я конечно не захочу
я не захочу выполнять странные действия во имя неизвестно чего и ради денег чтобы купить еды в магазине у дома или заказать ее по интернету или чтобы купить себе одежду или заплатить за квартиру или таблетки раз в месяц чтобы не получилось ребенка
получится ребенок или не получится я еще не знаю но это произойдет снова
ты знаешь что люди каждый день пишут сценарии развития мира это такой большой лотерейный билет такой большой блэк джек в который каждый как бы хочет попасть но в то же время не хочет потому что все эти сценарии исключительно пессимистические
слышала про сценарий серая слизь? а про большой разрыв? как вселенную разорвет на части из-за не знаю чего из-за того что она растет движется бежит куда-то вперед зачем она вертится по кругу куда она бежит зачем растет
если она не растет? то тогда она знаешь что? тогда она сожмется в точку
и ты и я и все кого ты любишь станут точкой
и я скажу да плевать какая разница ведь нас не будет никого из нас не будет в тот момент так что не страшно
то есть получается что страшно только то что здесь и сейчас
но если разложить каждое здесь и сейчас на миллисекунды знаешь что получится? получится что стрела покоится каждую секунду в определенной точке пространства а не летит не убивает не пронзает плоть а значит ничего не происходит вечный покой он не потом он сейчас
каждое новое сейчас он здесь
спасибо зенон спасибо пуанкаре
идеями держится мир
возможно все совсем не так но сейчас мне черт возьми так спокойно
идею пуанкаре я прочитала в трех строчках и ни одной строчки доказательств
но я верю что все так как я это поняла
потому что я это чувствую
мне черт возьми так спокойно от этого чувства
но спокойствие быстро тает
куда эволюционирует интеллект? что от этого изменится? разве не одно и то же происходит каждый день каждый год каждый век? разве проблемы у людей не одни и те же? разве мы все не похожи на канал энимал плэнет?
вселенная лежит на смертном одре и мы думаем когда и как она умрет
ведь она больна всем и сразу
если я придумаю что-то - что-то такое, что спасет чей-то кризис, что не позволит покончить с собой, что позволит не бояться
могу ли я это придумать
эту спасительную единицу
ведь у меня столько всего в арсенале
однажды я пойму это снова

они закуривают.

маша: знаешь, в чем косяк…

дина: а?

маша: ну если ты все знаешь, то почему никак не влияешь на настоящее? ну в твоих же силах сделать момент «сейчас» любым

дина: это ты думаешь, что любым. на самом деле, фишка в том, что он не только будет, оно уже неизвестно сколько раз было. тысячи, миллионы раз происходит одно и то же, раз за разом.

дина и маша молчат. они держатся за руки.

маша: ну вот так это действительно звучит страшно.

дина: а мне кажется, круто. ведь можно делать все, что угодно и не ошибешься.

маша: знаешь, о чем я часто думаю… незадолго до аварии мама рассказала мне историю. в юности она встречалась с парнем, они жили в разных городах, долго переписывались, потом вот она к нему сюда переехала, но отношения неизбежно рушились, столкнувшись с реальностью. и вот однажды в момент очередного расставания он подарил ей самодельную куклу. веревочную куклу с металлическим каркасом. по словам мамы она даже сначала испугалась, это выглядело ритуально и жутко, но она почему-то оставила ее у себя. и несколько лет эта кукла стояла на разных полках и наблюдала за ее жизнью. тот парень уже давно уехал куда-то, они совсем не поддерживали связь. и в один день мама решила избавиться от старых вещей. и выбросила эту куклу. но папа вынул ее из мусорки, он не знал о происхождении этой куклы вообще ничего, по маминым словам, и он сказал, что материалы, из которых она сделана, вполне могут пригодиться в дальнейшем. папа размотал веревку, дошел до металлического каркаса, который был замотан малярным скотчем. ну и выбросил. и тут мама что-то почувствовала. она вынула останки этой куклы из мусорки и стала срывать малярный скотч с ее головы, потому что она точно почувствовала, что там что-то есть. наконец-то она добралась до каркаса головы. в ней лежали салфетки. она вынула их. и там лежала крошечная открытка. примерно сантиметр на сантиметр. она открыла ее, а там написано: «все будет так, как ты захочешь».

дина: вау. а эта открытка? она осталась?

маша: да, мама тогда сказала, что сохранила ее. но не сказала, где. возможно, она носила ее с собой, но я ее так никогда и не видела.

дина: сумасшедшая история.

маша: может, этого и не было вовсе.

дина: ну это и в качестве выдумки звучит неплохо.

дина и маша не шевелятся.

дина: возможно, я прямо сейчас умру, так мне хорошо. так хорошо не бывает. сколько часов мы лежим здесь?

маша: не знаю. мне кажется, минут пять-семь.

дина: сколько же длятся эти минуты… я тебе не говорила, на следующей неделе я съеду от тебя, родители купили мне квартиру. как же глупо умереть будет сейчас, наверное, но я этого совсем не чувствую.

маша: как бы я хотела, чтобы у меня были родители.

дина: они будут у тебя. снова.

маша: ты звучишь, как все эти сектанты, обещающие полноценную загробную жизнь, но я точно сейчас чувствую, что ничего этого нет, что я лишь набор частиц, которые растворяются в пространстве, сбиваясь в разные формы.

дина: ты не представляешь, насколько это очевидно, просто ты еще не поймала эту волну. ты права, мы частицы. я горжусь тобой, маша. я горжусь тобой, что ты прошла этот путь, ты смогла. ты была такой смешной, когда мы познакомились.

маша: словно это и не я была вовсе.

дина: ну часть тебя была совсем другой. как отдельный человек.

маша: ты тоже была другой.

дина: тебе кажется, это сейчас я другая. я такая, как ты захочешь.

сцена 2

маша одна в комнате. здесь больше нет вещей дины. она осматривает оставшиеся предметы. подходит к проигрывателю, но все-таки не включает его. она убирает книги с прятавшегося все это время под ними пианино и открывает крышку. берет аккорд. пианино расстроенно. маша пробегает пальцами по пианино гамму в несколько октав. «расстроенно, но играть можно» – словно такой делает она вывод, берет стул и полноценно садится за пианино. она играет что-то очень простое, видно, что это импровизация. затем эта импровизация превращается в более атональную музыку, проявляется экспрессия, маша пробует все новые и новые техники. постепенно она успокаивается и музыка превращается в абсолютный консонанс. вдруг маша замечает таракана. она убивает его лежащей рядом книгой.

сцена 3


или по-простому:
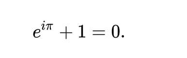
маша, возведенная в степень кати и дины, плюс коля, пришла к нулю, откуда теперь можно двигаться куда угодно.

эпилог и пролог

прошло неизвестно сколько времени, но оно кончилось, началось заново и дошло до этого момента. катя на кухне за ноутбуком. на стенах прежние обои. она пишет коле сообщение, прикрепляя песню we shout группы тату.

катя: «иногда так необъяснимо хочется слушать тату чувствую себя глупой я слушаю и плачу и пою я не могу».

коля: «ты что, катя, тату - это бешеная энергетика, там столько людей работали над их песнями, что это все отлично сделано, качественно продумано. только не плачь, хотя нет, плачь, плакать круто».

катя: «я не могу меня буквально рвет на части. почему нас не выбрали? ну это же был крутой проект».

коля: «катя ну ты же знаешь как это работает nothing is what it seems i will affect you i will protect you from all these crazy schemes ты же сама это слышишь я с тобой»

катя: «не знаю не понимаю не хочу знать»

звонок в дверь. катя открывает дверь дине.

дина: о господи, ты что, плачешь?

катя: да нет, все в порядке.

дина: стоит оставить тебя одну, как ты плачешь.

катя: я не могу потому что не могу не могу

дина: чего ты не можешь? пойдем бахнем винишка.

катя: не хочу.

дина: ладно, шучу, никакого винишка, выпей чайку. и забей. на все.

они проходят на кухню.

дина: ну что случилось-то?

катя: мне кажется, я занимаюсь не тем.

дина: я постоянно от тебя это слышу. может, и не тем. но по-моему, это не стоит таких страданий. не нравится это - займись другим, в чем проблема?

катя: это важно? это же важно. это тяжело принять. почему я не могу пострадать? почему ты все время так меня за это осуждаешь?

дина: ну можешь. только это уныло и непродуктивно.

катя: ты действительно считаешь, что я занимаюсь не тем?

дина: ну в твоем случае, наверное, без разницы.

катя: господи, почему ты так делаешь-то все время

дина: честно говоря, не думаю что что-то хорошее выйдет из всего этого. на мгновение мне недавно показалось что ты выходишь из этого своего вечно упаднического состояния - я не могу/я не подхожу/блабла
но скорее всего ты проведешь в нем всю жизнь.
а я буду наблюдать за тем как ты угасаешь.
надеюсь, это будет интересно!

катя молчит.

катя: думаешь, мне стоит сбежать, уехать, начать новую жизнь?

дина: понятия не имею. может, и стоит.

катя молчит.

дина: ладно, дай свою руку

катя: зачем

дина: ну дай.

катя дает дине руку. дина разглядывает ее.

дина: о! ну. все нормально будет.

катя: вот ты же врешь!

дина: не, я раньше хиромантией занималась. все классно будет. поверь мне. точно будет.

катя: ну что такое классно?

дина: катя, да как хочешь - так и будет.

катя: о боже, таракан!

дина убивает его. на кухню заходит маша.

конец. начало.

2017
This site was made on Tilda — a website builder that helps to create a website without any code
Create a website